Schulgrafik
Informationen
Bildrechte
Impressum
Alben
Mathematik
824
Physik
1058
Biologie und Chemie
115
Sonstiges
151
2148 Fotos
Erweitert
Am häufigsten angesehen
Am besten bewertet
Neueste Fotos
Am häufigsten heruntergeladen
Neueste Alben
Zufällige Fotos
Kalender
Menü
Schlagworte
(383)
Suchen
Kommentare
(1)
Info
Benachrichtigungen
Verwandte Alben
Mathematik
2
Stochastik
2
Baumdiagramme
9
Mengendiagramme
93
Identifikation
Anmeldung
Schnelle Anmeldung
Benutzername
Passwort
Auto-Login
Startseite
/
Schlagwort
/
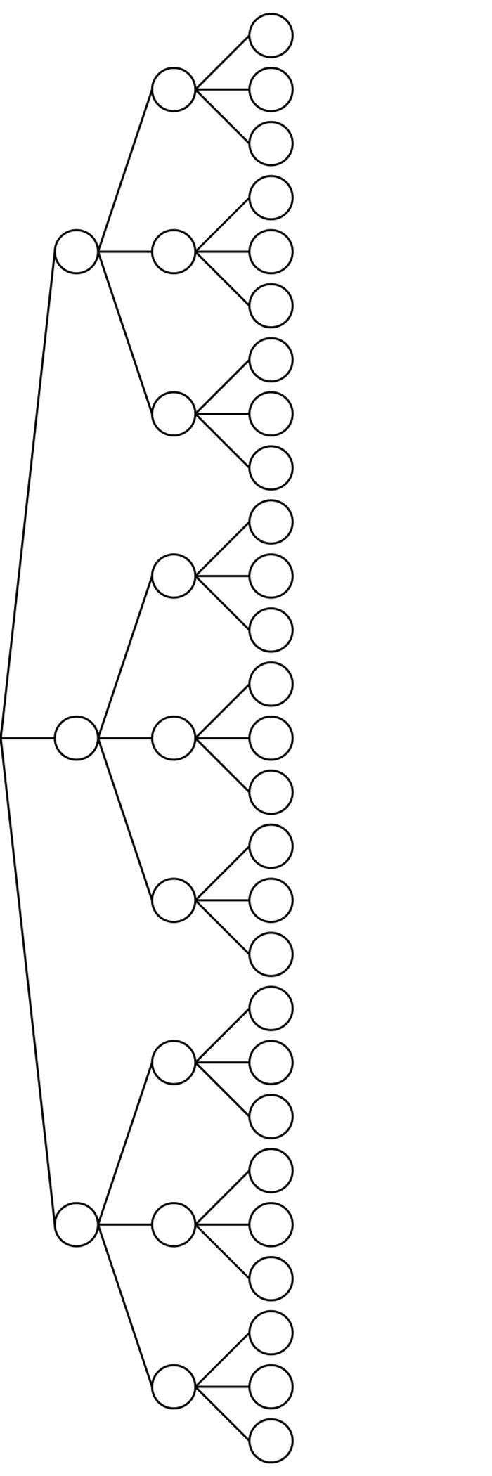
Baum 3-3-3
102/102
Vorschaubilder
Zurück
Vorwärts
Bildgrößen
Bildgrößen
✔
ziemlich klein
(108 x 324)
✔
klein
(144 x 432)
✔
mittel
(198 x 594)
✔
groß
(252 x 756)
✔
besonders groß
(306 x 918)
✔
sehr groß
(414 x 1242)
Original
Diashow
Herunterladen
Letzte Seite
Zurück zum Album
Veröffentlicht am
Freitag, 6. Januar 2023
Abmessungen
700*2100
Datei
Baum 3-3-3.jpg
Dateigröße
134 kB
Schlagworte
Baumdiagramm
,
Kombinatorik
,
Stochastik
Besuche
14446
Downloads
69
Bewertung
noch keine Bewertung
Foto bewerten
Kein Kommentar (0)
Einen Kommentar hinterlassen
Autor :
E-Mail-Adresse :
Kommentar (erforderlich) :
Powered by
Piwigo
Kein Kommentar (0)
Einen Kommentar hinterlassen